首页
小初高学霸资料
资料专题
小初高资料专题
考公、教资专题
通知公告
网站通知
政策信息
点我搜索
美国
上传赚积分、现金
登录
注册
首页
小初高学霸资料
正文
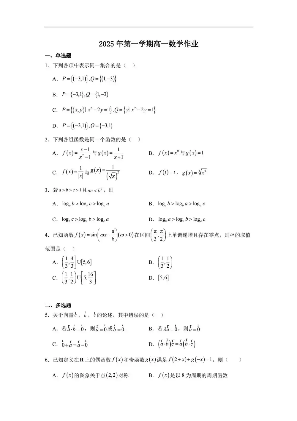
2025年高一上学期数学作业
小石头
2025-10-28 21:45:37
0
次
格式:图片版
答案:有答案有解析
2025年高一上学期数学作业
点击分享给好友
分享图片
关闭
生成中...
复制图片
复制链接
免费云打印活动
免费云打印,邮寄到家
×
用微信扫码
附件预览
资
料
部
分
预
览
资
料
部
分
内
容
预
览
,
如
无
预
览
也
可
放
心
下
载
1
/
0
◀
▶
高一
高中
上册
秋季
2025年
练习题
上学期
秋学期
高一上
同步练习
第一学期
秋季学期
高中一年级
高一(上)
2025-2026学年
上一篇:
2024-2025学年浙江省杭州市余杭区英特外国语中学九年级上学期期中考试数学试卷
下一篇:
2025-2026学年高三上学期数学试卷
相关内容
2025-2026学年浙江省金华市曙光学校高二下学期期中历史试题
2026-05-16 14:46:09
2025-2026学年浙江省金华市曙光学校高二下学期期中地理试题
2026-05-16 14:46:09
2025-2026学年浙江省嘉兴市清华附中嘉兴实验高级中学高一下学期期中考试数学...
2026-05-16 14:46:09
资料下载
|
不会?
请点击查看教程
免费通道
付费通道
🎯 立即免费解锁资源
💎 需要积分:
5积分
热门资料
2025年秋(人教版)高清可编...
2025年4月浙江省杭州市西湖...
2025年秋新译林八年级上册彩...
2024秋最新(人教版PEP)...
2025年秋(外研社版)高清可...
2025年4月浙江省杭州市余杭...
2025年秋人教版八年级数学上...
2025年浙江省中考真题科学
2025年秋(浙教版)高清可编...
2025年秋八年级上学期人教版...